Pigmen Kuning 97
Pigment Yellow 97 is a bright, durable yellow pigment commonly used in coatings, inks, plastics, and paints. Known for its excellent lightfastness, weather resistance, and non-toxic properties, it offers vibrant color with high opacity. This pigment provides superior color strength and is often chosen for applications requiring consistent, high-quality yellow hues. It’s widely used in industrial sectors such as automotive, textiles, and packaging, offering a reliable and long-lasting color solution. Pigment Yellow 97 is valued for its versatility, environmental safety, and ability to maintain color integrity even under harsh conditions.
| Sinonim | CIPigmen Kuning 97; CIPY97; PY97; PY97 |
| Nomor CI | 11767 |
| Nomor CAS | 12225-18-2 |
| Nomor EU | 235-427-3 |
| Formula molekul | C26H27CINN4O8S |
| Keluarga Kimia | Mono azo |
| Warna | ![]() |
| Distribusi rona |
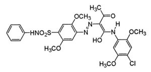
Struktur Molekul:

Pigmen kuning 97 Sifat Fisika, Kimia dan Tahan Luntur
| Berat molekul | 591.08 |
| Nilai PH | 7.5 |
| Massa jenis | 1.5 |
| Penyerapan Minyak (ml / 100g)% | 45 |
| Tahan luntur cahaya | 7 |
| Tahan panas | 200 (°C) |
| Tahan air | 5 |
| Resistensi minyak | 4 |
| Tahan asam | 5 |
| Resistensi alkali | 5 |
Aplikasi
Pigmen Kuning 97 dapat diterapkan di berbagai industri karena warna kuning cerahnya. Beberapa aplikasi umum meliputi:
Cat dan Pelapis: Pigmen Kuning 97 digunakan dalam formulasi cat dan pelapis untuk tujuan dekoratif dan pelindung. Ini dapat dimasukkan ke dalam cat berbahan dasar air atau berbahan dasar pelarut untuk memberikan rona kuning.
Tinta Cetak: Pigmen digunakan dalam produksi tinta cetak kuning untuk aplikasi seperti pengemasan, publikasi, dan bahan cetakan lainnya.
Plastik: Pigmen Kuning 97 sering digunakan dalam pewarnaan plastik, termasuk PVC (polivinil klorida), poliolefin, dan bahan polimer lainnya. Ini memberikan warna kuning yang tahan lama dan stabil pada produk plastik.
Tekstil: Dalam industri tekstil, pigmen ini dapat digunakan untuk mewarnai kain, memberikan warna kuning pada tekstil dan garmen.
Tinta Inkjet: Pigment Yellow 97 dapat digunakan dalam formulasi tinta inkjet untuk mencetak gambar dan teks pada berbagai media.
Warna Artis: Seniman dan produsen perlengkapan seni dapat menggunakan Pigmen Kuning 97 dalam produksi cat minyak, akrilik, cat air, dan media artistik lainnya.
Aplikasi Lain: Pigmen juga dapat digunakan dalam berbagai aplikasi lain yang menginginkan warna kuning yang stabil dan cerah, seperti dalam pewarnaan kosmetik, produk karet, dan pelapis khusus.
Informasi terkait
Pigment Yellow 97 is a hydroxyl-containing polycarboxylic acid that is used in the production of paints and plastics. It has an oxidation potential of +0.6 volts, which indicates that it is reactive. Pigment Yellow 97 has an absorption maximum at 526 nm and a molecular weight of 317.09 g/mol. The chemical structure of Pigment Yellow 97 consists of a molecule with a reactive carboxyl group and a reactive hydroxyl group, as well as an intramolecular hydrogen bond between the two groups. This pigment also forms coordination complexes with metals such as iron oxides to form particle pigments or mixtures with glycol esters to form solid particles or dispersions, respectively.
Nama dan Pengidentifikasi
Nama IUPAC: N-(4-kloro-2,5-dimetoksifenil)-2-[[2,5-dimetoksi-4-(fenilsulfamoil)fenil]diazenil]-3-oksobutanamida
InChI=1S/C26H27ClN4O8S/c1-15(32)25(26(33)28-18-12-20(36-2)17(27)11-21(18)37-3)30-29-19- 13-23(39-5)24(14-22(19)38-4)40(34,35)31-16-9-7-6-8-10-16/j6-14,25,31Jam, 1-5H3,(H,28,33)
InChiKey: WNWZKKBGFYKSGA-UHFFFAOYSA-N
SENYUM Kanonik: CC(=O)C(C(=O)NC1=CC(=C(C=C1OC)Cl)OC)N=NC2=CC(=C(C=C2OC)S(=O)(= HAI)NC3=CC=CC=C3)OC
Properti yang Dihitung
| Nama properti | Nilai properti |
| Berat molekul | 591.0 g/mol |
| XLogP3-AA | 4.6 |
| Jumlah Donor Ikatan Hidrogen | 2 |
| Jumlah Akseptor Ikatan Hidrogen | 11 |
| Jumlah Obligasi yang Dapat Diputar | 12 |
| Massa Tepat | 590.1238127 Da |
| Massa Monoisotopik | 590.1238127 Da |
| Luas Permukaan Kutub Topologi | 162 Ų |
| Jumlah Atom Berat | 40 |
| Tuntutan Formal | 0 |
| Kompleksitas | 974 |
| Jumlah Atom Isotop | 0 |
| Hitungan Stereocenter Atom yang Ditentukan | 0 |
| Jumlah Stereocenter Atom Tidak Terdefinisi | 1 |
| Hitungan Stereosenter Obligasi yang Ditentukan | 0 |
| Jumlah Stereosenter Obligasi Tidak Terdefinisi | 0 |
| Jumlah Satuan Berikat Kovalen | 1 |
| Senyawa Dikanonikalisasi | Ya |











